FORMULARIO   DI   MATEMATICA e di FISICA

Nella preparazione di molti Esami (di Stato e non)  necessita conoscere una buona parte di FORMULE e REGOLE DI  MATEMATICA e FISICA riguardanti, molto spesso, i seguenti argomenti:

FORMULARIO DI MATEMATICA relativamente a

                                                ALGEBRA

    GEOMETRIA ANALITICA NEL PIANO

GEOMETRIA SINTETICA NEL PIANO

GEOMETRIA SINTETICA NELLO SPAZIO

GONIOMETRIA   E   TRIGONOMETRIA

                                         ANALISI  MATEMATICA

      NUMERI  COMPLESSI

EQUAZIONI  DIFFERENZIALI

----------------------

FORMULARIO DI FISICA relativamente a

CINEMATICA

DINAMICA-PENDOLO-IMPULSO-QUANTITA' DI MOTO-LAVORO-POTENZA-ENERGIA CINETICA E POTENZIALE

PRESSIONE-LEGGE STEVINO-LEGGI BOYLE E GAYLUSSAC-SCALE TERMOMETRICHE-DILATAZIONE LINEARE E CUBICA

TERMOLOGIA-ACUSTICA-OTTICA-LEGGI RIFLESSIONE E RIFRAZIONE

OTTICA-LENTI-LEGGE COULOMB-POTENZIALE ELETTRICO-CONDENSATORE-PRIMA LEGGE OHM-ENERGIA E POTENZA ELETTRICA

SECONDA LEGGE OHM-RESISTORI IN SERIE E PARALLELO-CAMPO MAGNETICO-LEGGE LORENTZ-FLUSSO MAGNETICO-LEGGE FARADAY

-------------------------------------- 

Le FORMULE e le REGOLE sono state scritte manualmente dal Prof.Sampognaro allo scopo di rendere più agevole la loro comprensione. 

____________________________________________________

 

ALGEBRA: Le Formule vengono suddivise in 10 Fogli:

FOGLIO 1: Operazioni coi Numeri Relativi; Operazioni coi polinomi; Prodotti Notevoli;  Risoluzione Equazione I e II grado;  Esistenza Radicali; Risoluzione Sistema di I grado; Esercizi particolari su Equazioni di II grado.

FOGLIO 2: Operazioni coi Numeri Relativi; Su Scomposizione dei Polinomi;

FOGLIO 3: Operazioni coi Radicali; Sulle Proprietà delle Potenze; Su Equazioni di II grado;

FOGLIO 4: Ancora su Equazioni di II grado; Su Equazioni Irrazionali; Su Equazioni Binomie;

FOGLIO 5: Su Equazioni Parametriche di II grado;

FOGLIO 6: Su Equazioni Trinomie; Sui Sistemi Simmetrici; Su Formule di Waring; Sui Sistemi Simmetrici Particolari; Sui Sistemi con Artifici;

FOGLIO 7: Su Disequazioni di I e II grado; Sui Sistemi di Disequazioni; Sulle Disequazioni Fratte e Prodotto;

FOGLIO 8: Su Disequazioni Irrazionali; Su Disequazioni con Valore Assoluto; Su Disequazioni Logaritmiche e su Disequazioni Esponenziali;

FOGLIO 9: Su Equazioni Esponenziali; Sul concetto di Logaritmo e sue Proprietà; Sui Grafici delle Funzioni Esponenziali e Logaritmiche elementari;

FOGLIO 10: Su Progressioni Aritmetiche e Geometriche;

___________________________________________________________________

 

GEOMETRIA ANALITICA NEL PIANO: Le Formule vengono suddivise in 11 Fogli:

FOGLIO 1: Distanza tra 2 punti; Coordinate Punto Medio di un Segmento; Coordinate del Baricentro di un Triangolo; Condizioni di Allineamento fra 3 punti; Formule della Traslazione, della Rotazione e della Rototraslazione degli assi; Trasformazioni da coordinate cartesiane a polari e viceversa.

FOGLIO 2: Varie Forme di Equazione di una retta; Distanza tra retta e un punto; Punto d'incontro fra 2 rette; Condizione di Parallelismo e Perpendicolarità tra 2 rette; Concetto di Coefficente Angolare di una retta e varie sue forme; Tangente Goniometrica dell'angolo formato da 2 rette;

FOGLIO 3: Equazioni di Rette Particolari (Assi, Rette Parallele asse X e Y, Equazioni delle Bisettrici dei quadranti, Equazione Fascio Proprio(per 1 punto) o Improprio(parallele); Come si rappresenta una retta.

FOGLIO 4: Equazioni della CIRCONFERENZA ed esercizi tipici(tangente alla circonferenza in un punto, Equaz.Circonf. per 2 punti estremi di un diametro);Tangente alla Circonferenza in un suo punto con le Formule di Sdoppiamento;

FOGLIO 5: Studio delle CONICHE in generale;

FOGLIO 6: Studio della PARABOLA con relativi esercizi;Tangente alla Parabola in un suo punto con le Formule di Sdoppiamento;

FOGLIO 7: Continuazione dello Studio della PARABOLA (Area Segmento Parabolico, Coeff.Angolare retta tangente in un punto x0 oppure y0);

FOGLIO 8: Studio della ELLISSE; Tangente all'Ellisse in un suo punto con le Formule di Sdoppiamento;

FOGLIO 9: Studio della IPERBOLE generica ed equilatera con equazione riferita agli assi;

FOGLIO 10: Studio della IPERBOLE equilatera con equazione riferita agli Asintoti; Studio della Equazione della IPERBOLE OMOGRAFICA;

FOGLIO 11: Varie Equazioni di tutte le specie delle SIMMETRIE rispetto gli assi, una retta particolare, le bisettrici, l'origine, un punto qualsiasi, ed equazioni ROTAZIONI di 90° antiorario e orario intorno origine;

_________________________________________________________________

 

GONIOMETRIA: Le formule sono suddivise in 6 Fogli:

FOGLIO 1: Conversione Gradi-Radianti e viceversa; Relazione Fondamentale; Variazioni funzioni goniometriche;Quadro delle Relazioni tra funzioni goniometriche; Grafici funzioni goniometriche;

FOGLIO 2: Valori delle funzioni goniometriche negli archi fondamentali, particolari, ed associati dei 4 quadranti con angoli in gradi, radianti, positivi e negativi;

FOGLIO 3: Riepilogo Archi Associati; Risoluzione Equazioni goniometriche non complesse;

FOGLIO 4: Risoluzione Equazioni Goniometriche complesse; Formule di Addizione e Sottrazione; Formule di Duplicazione;

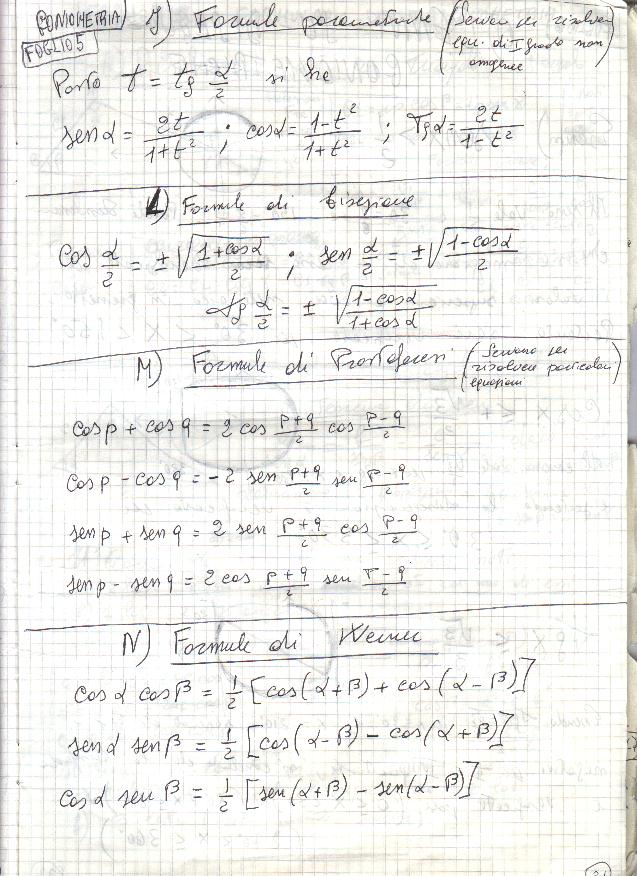
FOGLIO 5: Formule Parametriche; Formule di Bisezione; Formule di Prostaferesi; Formule di Werner;

FOGLIO 6: Cenni sulle Disequazioni Goniometriche Elementari;

_______________________________________________________________

 

TRIGONOMETRIA: Le Formule sono suddivise in 2 Fogli:

FOGLIO 1: Risoluzione di un Triangolo Rettangolo; Risoluzione di un Triangolo Qualsiasi;

FOGLIO 2: Area di un Triangolo Qualsiasi e di un Parallelogramma; Angolo tra 2 rette; Formule di Rotazione e di Rototraslazione intorno all'origine con la Goniometria;

__________________________________________________________________

 

ANALISI  MATEMATICA: Le Formule vengono suddivise in 11 Fogli:

FOGLIO 1: Sul Calcolo Combinatorio(Disposizioni-Permutazioni-Combinazioni, Binomio di Newton, Proprietà Coefficenti Binomiali, Triangolo di Tartaglia);

FOGLIO 2: Su Definizioni di Limiti; Su Continuità di una funzione in un punto; Sulla Monotonia; Risoluzione di Limiti di Forme Indeterminate;

FOGLIO 3: Su Limiti Notevoli; Su Concetto di Derivata in un punto; Su Equazione della Retta Tangente ad una funzione in un suo punto; Legami tra Analitica-Goniometria-Analisi in funzione del Coefficente Angolare; Sul Teorema Continuità-Derivabilità;

FOGLIO 4: Su Ricerca intervalli di Crescenza, Decrescenza, Ascisse dei punti di minimo o Massimo, Concavità, Convessità e Ascisse dei Punti di Flesso; Sul Teorema di Rolle, Lagrange e di De L'Hopital;

FOGLIO 5: Tutte le più importanti formule sulla DERIVAZIONE.

FOGLIO 6:Su Integrazione di una funzione, Teorema della Media e Volume di un Solido di Rotazione;

FOGLIO 7: Tutte le più importanti formule sulla INTEGRAZIONE.

FOGLIO 8: Altre formule sulla INTEGRAZIONE;

FOGLIO 9: Metodi di INTEGRAZIONE delle Funzioni Razionali Fratte;

FOGLIO 10: Altre Formule di INTEGRAZIONE di Funzioni Razionali Fratte; Sul Metodo per Parti;

FOGLIO 11: Sul Metodo di Sostituzione;

__________________________________________________________________

 

SUI  NUMERI  COMPLESSI: Le Formule sono suddivise in 2 Fogli:

FOGLIO 1: Su unità immaginaria; Forma Algebrica Numeri Complessi; Operazioni coi Numeri Complessi; Coniugato di un numero complesso; Rappresentazione Analitica e Grafica del Numero Complesso; Forma Trigonometrica di un numero complesso; Reciproco di un numero complesso in trigonometria; Potenza di un numero complesso;

FOGLIO 2: Radici di un numero complesso; Radici Ennesime dell'unità; Forma Esponenziale di un numero complesso;

_________________________________________________________________

 

GEOMETRIA  SINTETICA  NEL  PIANO: Le Formule si suddividono in 7  Fogli:

FOGLIO 1: Disegni di Figure Geometriche e Proprietà;

FOGLIO 2: Proprietà Figure Piane; Sul Triangolo qualsiasi; Sul Triangolo equilatero;

FOGLIO 3: Sul Triangolo Rettangolo; Sui Teoremi di Pitagora ed Euclide;Sui Triangoli Rettangoli con angoli particolari; Conseguenze della Similitudine;

FOGLIO 4: Su Proprietà Poligoni Qualsiasi; Su Aree Figure Piane;

FOGLIO 5: Su Angoli al centro e alla Circonferenza; Su Triangoli iscritti e circoscritti:

FOGLIO 6: Su Altezze, Ortocentro,Mediane,Barcentro, Bisettrice,Incentro, Asse,Circocentro di Triangolo.; Relazioni tra lati e raggi Poligoni  inscritti e circoscritti ad un cerchio;

FOGLIO 7: Su Circonferenza, Cerchio e loro parti;

___________________________________________________________________

 

GEOMETRIA SINTETICA NELLO SPAZIO: Le Formule saranno suddivise in 3 Fogli:

FOGLIO 1: Su Peso di un corpo; Su Prisma,Parallelepipedo,Cubo e Piramide con sue proprietà;

FOGLIO 2: Sui Poliedri;

FOGLIO 3: Su Cono, Sfera, Zona sferica, Fuso sferico, Spicchio sferico;

_________________________________________________________________

 

EQUAZIONI  DIFFERENZIALI: Le formule saranno suddivise in 7 Fogli:

FOGLIO 1: Equazioni Differenziali Elementari, a variabili separabili e di funzione omogenea;

FOGLIO 2: Regola di Manfredi; Equazione Differenziale di I grado;

FOGLIO 3: Ancora su Equazioni Differenziali Lineari;

FOGLIO 4: Equazione di Bernoulli;

FOGLIO 5: Equazioni Differenziali di II grado;

FOGLIO 6: Ancora su Equazioni Differenziali di II grado;

FOGLIO 7: Ancora su Equazioni Differenziali di II grado;

-------------------------------------------------------------------------------------------------------

__________________________________________________________________